Đáp án bài tập Tài chính doanh nghiệp 1 | BA - Học viện Ngân hàng (2025)

Trọn bộ tài liệu Đáp án bài tập Tài chính doanh nghiệp 1 | BA - Học viện Ngân hàng. Câu hỏi ôn tập dưới dạng tự luận có đáp án giúp bạn ôn tập hiệu quả và đạt điểm cao cuối học phần.

Đáp án bài tập Tài chính doanh nghiệp 1 | BA - Học viện Ngân hàng

Ở đây có bộ đáp án bài tập Tài chính doanh nghiệp 1 hay nhất với ngân hàng câu hỏi lớn lên đến hơn 100 câu và "vô cùng sát đề" của các trường đại học.

Có nhiều loại đề thi Tài chính doanh nghiệp 1 khác nhau, mỗi loại có mục đích và cấu trúc riêng. Dưới đây là một số loại đề thi phổ biến:

  • Đề thi trắc nghiệm: Giúp kiểm tra kiến thức cơ bản và khả năng tư duy nhanh của sinh viên. Các câu hỏi trắc nghiệm thường bao gồm các khái niệm, định nghĩa và quy luật.
  • Đề thi tự luận: Đánh giá khả năng phân tích và lập luận của sinh viên. Các câu hỏi tự luận thường yêu cầu sinh viên giải thích các khái niệm, phân tích các tình huống thực tế và đưa ra các giải pháp.
  • Đề thi kết hợp: Bao gồm cả câu hỏi trắc nghiệm và tự luận, giúp đánh giá toàn diện kiến thức và kỹ năng của sinh viên.

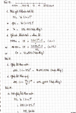
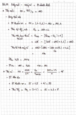
Đáp án bài tập Tài chính doanh nghiệp 1 của trường Học viện Ngân hàng:

Xem thêm các tài liệu hay, chi tiết khác:

TOP Việc làm "HOT" dành cho sinh viên:

Để xem toàn bộ tài liệu, vui lòng tải xuống
Bình luận (0)

Đăng nhập để có thể bình luận

Chưa có bình luận nào. Bạn hãy là người đầu tiên cho tôi biết ý kiến!
Nhắn tin Zalo