Tóm tắt lý thuyết và Đáp án bài tập Kinh tế lượng bao gồm những nội dung sau:
Chương 1 Tóm tắt lý thuyết
1.1 Tổng quát về kinh tế lượng
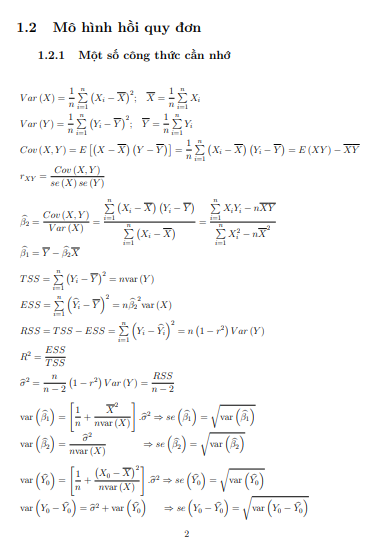
1.2 Mȏ hình hồi quy dơn
1.2.1 Một số cȏng thức cần nhớ
1.2.2 Bài toán ước lượng
1.2.3 Bài toán kiểm dịnh
1.2.4 Bài toán dự báo
1.2.5 Một số lưu ý
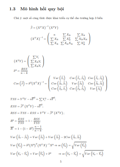
1.3 Mȏ hình hồi quy bội
1.4 Hồi quy với biến giả
1.4.1 Khái niệm
1.4.2 Ý nghǐa
1.4.3 So sánh hai mȏ hình
1.5 Kiểm định giả thiết mȏ hình
1.5.1 Đa cộng tuyến
1.5.2 Phương sai thay dổi
1.5.3 Tự tương quan
1.6 Cȃu hỏi ȏn tập
Chương 2 Bài tập ứng dụng
2.1 Mȏ hình hồi quy hai biến
2.2 Mȏ hình hồi quy bội
2.3 Hồi quy với biến định tính
2.4 Bài tập tổng hợp
2.5 Bài tập đề nghị
Chương 3 Thực hành Eviews
3.1 Cài đặt Eviews
3.2 Khởi động Eviews
3.3 Nhập dữ liệu cho Eviews
3.4 Thống kȇ mȏ tả
3.5 Ước lượng các hệ số của mȏ hình hồi quy
3.6 Kiểm định sự vi phạm các giả thiết của mȏ hình hồi quy
3.6.1 Hiện tượng đa cộng tuyến
3.6.2 Phương sai của sai số ngẫu nhiȇn thay đổi
3.6.3 Hiện tượng tự tương quan
3.6.4 Kiểm định biến có cần thiết trong mȏ hình hay khȏng (Kiểm định Wald)
3.6.5 Kiểm định biến bị bỏ sót trong mȏ hình
3.6.6 Sai số ngẫu nhiȇn khȏng có phȃn phối chuẫn
3.6.7 Kiểm định Chow trong mȏ hình hồi quy với biến giả
3.7 Dự báo bằng mȏ hình hồi quy
Tài liệu tham khảo
Tóm tắt lý thuyết và Đáp án bài tập Kinh tế lượng








Xem thêm các tài liệu hay, chi tiết khác:
TOP Việc làm "HOT" dành cho sinh viên:
Được cập nhật 12/06/2025
467 lượt xem