TÓM TẮT LÝ THUYẾT: MỘT SỐ KIẾN THỨC XÁC SUẤT CƠ SỞ
1. Định nghĩa xác suất
1.1. Phép thử ngẫu nhiên
- Phép thử: Việc thực hiện một tổ hợp các hành động nào đó.
- Phép thử ngẫu nhiên: Phép thử mà ta không biết trước được kết quả của nó
1.2. Không gian mẫu và Biến cố sơ cấp
- Không gian mẫu là tập hợp tất cả các kết quả có thể xảy ra của phép thử. Ta thường kí hiệu không gian mẫu bởi Ω.
- Biến cố sơ cấp là một phần tử của không gian mẫu.
Ví dụ: Trong hộp có 1 bi xanh, 1 bi đỏ và 1 bi vàng. Hãy xác định không gian mẫu và số biến cố sơ cấp của các phép thử sau:
a) Lấy ra ngẫu nhiên 1 bi từ hộp.
b) Lấy ra ngẫu nhiên đồng thời 2 bi từ hộp.
c) Lấy ra lần lượt 2 bi từ hộp.
d) Lấy ra ngẫu nhiên 1 bi từ hộp, xem màu, trả lại hộp rồi lại lấy ra ngẫu nhiên 1 bi nữa
Lời giải
a) Lấy ra ngẫu nhiên 1 bi từ hộp
Ω = {X, Đ, V}
b) Lấy ra ngẫu nhiên đồng thời 2 bi từ hộp
Ω = {{X , Đ} , {X , V} , {Đ , V}}
c) Lấy ra lần lượt 2 bi từ hộp
Ω = { XĐ, XV, ĐX, ĐV, VX, VĐ }
= { (X, Đ), (X, V), (Đ, X), (Đ,V), (V,X), (V,Đ) }
d) Lấy ra ngẫu nhiên 1 bi từ hộp, xem màu, trả lại hộp rồi lại lấy ra ngẫu nhiên 1 bi nữa
Ω = { XX, XĐ, XV, ĐX, ĐV, ĐĐ, VX, VĐ, VV}
= { (X, X), (X, Đ), (X, V), (Đ, X), (Đ, Đ), (Đ, V), (V, X), (V, Đ), (V, V) }
1.3. Biến cố
- Biến cố là một sự kiện liên quan đến phép thử. Một biến cố có thể xảy ra hoặc không xảy ra sau khi phép thử được thực hiện. Mỗi biến cố là một tập con của không gian mẫu.
- Biến cố chắc chắn là biến cố luôn xảy ra.
- Biến cố rỗng (trống) là biến cố luôn không xảy ra.
Ví dụ: Xét phép thử gieo hai con xúc xắc cân đối. Hãy xác định không gian mẫu và biểu diễn các biến cố sau dưới dạng tập hợp.
- A là b/c xuất hiện hai mặt 1 chấm.
- B là b/c xuất hiện hai mặt 4 chấm.
- C là b/c xuất hiện hai mặt cùng chấm.
- D là b/c tổng số chấm bằng 8
- E là b/c tích số chấm xuất hiện là số lẻ.
Lời giải.
Ω = {(1, 1), (1, 2), . . . ,(6, 6) }
= { (i, j) : 1 ≤ i, j ≤ 6 }
- A = {(1, 1)}.
- B = {(4, 4)}.
- C là b/c xuất hiện hai mặt cùng chấm
C = { (1, 1), (2, 2), (3, 3), (4, 4), (5, 5), (6, 6) }.
- D là b/c tổng số chấm bằng 8
D = { (2, 6), (3, 5), (4, 4), (5, 3), (6, 2) }.
- E là b/c tích số chấm xuất hiện là số lẻ
E = { (1, 1), (1, 3), (1, 5), (3, 1), (3, 3), (3, 5) ,(5, 1), (5, 3), (5, 5)}.
1.4. Phép toán trên các biến cố
- A ∪ B: Hợp của hai biến cố A và B.
- A ∩ B = AB: Giao của hai biến cố A và B.
- A \ B: Hiệu của hai biến cố A cho B.
Ví dụ: Trong phép thử gieo hai con xúc xắc, hãy xác định biến cố hợp, giao và hiệu của các biến cố C và D.
1.5. Mối quan hệ giữa các biến cố
- Biến cố A được gọi là thuận lợi cho biến cố B nếu khi A xảy ra thì B cũng xảy ra. Kí hiệu là A ⊂ B.
- Biến cố A được gọi là xung khắc với biến cố B nếu khi A xảy ra thì B không xảy ra và ngược lại. Hai biến cố xung khắc không thể đồng thời cùng xảy ra. Kí hiệu là A ∩ B = ∅.
Ví dụ 1.4. Trong các biến cố A, B, C, D, E ở phép thử gieo hai con xúc xắc
a) Hãy chỉ ra biến cố nào thuận lợi cho biến cố nào
b) Hãy chỉ ra các cặp biến cố xung khắc.
- Biến cố A và B là đối nhau nếu luôn chỉ có đúng một trong hai biến cố xảy ra.
⇔ A = Ω \ B.
Kí hiệu biến cố đối của biến cố A là A¯.
- Hai biến cố A và B được gọi là đồng khả năng nếu chúng có khả năng xuất hiện như nhau trong mỗi phép thử.
Ví dụ 1.5.Trong phép thử gieo hai con xúc xắc, hãy xác định biến cố đối của các biến cố C, D, E.
1.6. Định nghĩa xác suất cổ điển
Giả sử một phép thử có n kết quả khác nhau và có cùng khả năng
xảy ra, trong đó có m kết quả thuận lợi cho biến cố A. Khi đó xác suất để biến cố A xảy ra là:
Ví dụ. Giả sử hai con xúc xắc là cân đối và đồng chất.
a) Tính xác suất của các biến cố A, B, C, D, E.
b) Tính xác suất của các biến cố C ∩ D, C ∪ D, C \ D, D \ C.
1.7. Tính chất của xác suất
- Với mọi biến cố A:
0 ≤ P(A) ≤ 1.
- Với mọi biến cố xung khắc A và B:
P(A ∪ B) = P(A) + P(B).
- Với mọi biến cố A:
P(A¯) = 1 − P(A).
1.8. Định nghĩa xác suất theo thống kê
Thực hiện lặp đi lặp lại phép thử n lần và gọi m là số lần biến cố A xuất hiện trong n lần thử.
- Tỉ số được gọi là xác suất thực nghiệm của biến cố A trong n lần thử.
• Nếu xác suất thực nghiệm hội tụ đến một giá trị p0 nào đó thì ta nói p0 là xác suất của biến cố A theo nghĩa thống kê.
2. Sự độc lập
Tung một đồng xu hai lần. Nếu biết được kết quả lần gieo thứ nhất thì có đoán được kết quả lần gieo thứ hai hay không?
2.1. Hai biến cố độc lập
Hai biến cố A và B được gọi là độc lập nếu việc A có xảy ra hay không cũng không ảnh hưởng tới khả năng xảy ra của B và ngược lại. Theo xác suất thì
P(A ∩ B) = P(A)P(B).
Ví dụ: Tung một đồng xu hai lần. Gọi A và B lần lượt là biến cố lần tung thứ nhất và thứ hai xuất hiện mặt sấp thì A và B là 2 biến cố độc lập
Mệnh đề: Nếu A và B độc lập thì các cặp biến cố sau cũng độc lập:
- A¯ và B;
- A và B¯;
- A¯ và B¯.
2.2 Dãy biến cố độc lập
Dãy biến cố A1, A2, . . . , An được gọi là độc lập nếu việc một biến cố Ai nào đó trong dãy có xảy ra hay không cũng không ảnh hưởng tới khả năng xảy ra của các biến cố còn lại và ngược lại. Theo xác suất thì
với mọi , mọi
Ví dụ: Gieo hú hoạ một con xúc xắc n lần, gọi Ak là biến cố lần gieo thứ k được mặt 6 chấm.
Khi đó A1, A2, . . . , An là dãy các biến cố độc lập.
2.3 Dãy phép thử Bernoulli
- Một dãy phép thử được gọi là dãy phép thử Bernoulli nếu:
+ Kết quả của mỗi phép thử hoặc là thành công, hoặc là thất bại.
+ Xác suất thành công của mỗi lần thử đều bằng nhau.
+ Kết quả của từng lần thử là dãy biến cố độc lập.
Ví dụ: Gieo 3 hạt giống và quan sát sự nảy mầm của mỗi hạt. Lần lượt chọn ngẫu nhiên hồ sơ sức khoẻ của 10 trẻ 4 tuổi và kiểm tra xem trẻ có bị suy dinh dưỡng hay không?
Ví dụ: Gieo 3 hạt giống. Xác suất nảy mầm của mỗi hạt là 0,8. Tính xác suất để
a) Cả 3 hạt đều nảy mầm.
b) Cả 3 hạt đều không nảy mầm.
c) Có đúng 2 hạt nảy mầm.
Lời giải.
Gọi Ak là biến cố hạt thứ k này mầm, k = 1, 2, 3.
a) Xác suất cả 3 hạt đều nảy mầm là
P(A1A2A3) = P(A1)P(A2)P(A3) = 0, 83.
b) Xác suất cả 3 hạt đều không nảy mầm là:
P(A¯1A¯2A¯3) = P(A¯1)P(A¯2)P(A¯3) = 0, 23.
c) Xác suất có đúng 2 hạt nảy mầm là:


P(A¯1A2A3) + P(A1A¯2A3) + P(A1A2A¯3) = 3 × 0, 82 × 0, 2.
2.4 Công thức xác suất nhị thức
Gọi p là xác suất thành công trong mỗi lần thử.
Xác suất để có đúng k lần thành công trong n lần thử độc lập là
với , 0 ≤ k ≤ n
Luyện tập
2.1. Tỉ lệ trẻ 4 tuổi bị suy dinh dưỡng trong một cộng đồng là 5%. Lần lượt chọn ngẫu nhiên hồ sơ sức khoẻ của 10 trẻ 4 tuổi. Tính xác suất của các biến cố
a) Cả 10 trẻ đều không bị suy dinh dưỡng.
b) Có đúng 2 trẻ bị suy dinh dưỡng.
c) Có ít nhất 2 trẻ bị suy dinh dưỡng.
2.2 Trong trò chơi "Bầu, cua, cá, cọp, gà, tôm" nhà cái sẽ gieo ba con xúc xắc. Mỗi con xúc xắc sáu mặt được dán bởi sáu hình "Bầu, cua, cá, cọp, gà, tôm". Người chơi sẽ chọn một hình để đặt cược (chẳng hạn hình cá).
a) Tính xác suất để có 3 mặt cá xuất hiện.
b) Tính xác suất để không có mặt cá nào.
c) Tính xác suất để có ít nhất 1 mặt cá
3. Biến ngẫu nhiên rời rạc
3.1 Định nghĩa
Biến ngẫu nhiên là một quan sát nhận giá trị bằng số kết quả của phép thử.
Ví dụ:
a) Tung hai đồng xu, số mặt sấp xuất hiện là một biến ngẫu nhiên.
b) Gieo hai con xúc xắc, tổng số chấm xuất hiện là một biến ngẫu nhiên.
c) Gieo hai con xúc xắc, tích số chấm xuất hiện là một biến ngẫu nhiên.
d) Một người đi thi cho đến khi đỗ thì số lần thi của người này cũng là biến ngẫu nhiên.
Ví dụ: Gieo hai đồng xu cân đối và đồng chất. Gọi X là số mặt sấp xuất hiện.
a) Biến ngẫu nhiên X nhận các giá trị nào?
b) Hãy tính xác suất để X nhận mỗi giá trị chỉ ra ở trên.
Lời giải.
a) Biến ngẫu nhiên X nhận các giá 0, 1, 2
b) Không gian mẫu
Ω = {SS, SN, NS, NN}.
Ta có
P[X = 0] =
P[X = 1] =
P[X = 2] =
3. Do kết quả của hai đồng xu là độc lập và xác suất để xuất hiện mặt sấp là 1/2 nên ta cũng có thể tính các xác suất trên bằng công thức xác suất nhị thức.
Ta có bảng sau gọi là bảng phân phối xác suất của X.
| x |
0 |
1 |
2 |
| P[X=x] |
1/4 |
1/2 |
1/4 |
3.2 Phân phối của biến ngẫu nhiên
X được gọi là bnn rời rạc nếu nó nhận các giá trị . . .
Kí hiệu với k = 1, 2, . . .
Bảng phân phối của X:
| x |
|
|
... |
|
| P[X=x] |
|
|
... |
|
Chú ý:
3.3 Các số đặc trưng
Để đánh giá biến ngẫu nhiên X, ta thường dùng các giá trị sau
1. Kỳ vọng:
2. Phương sai:
V ar(X) =
3. σ(X) =
là độ lệch chuẩn của X.
Với mỗi hàm số ϕ : R → R ta có
Ví dụ: Cho biến ngẫu nhiên X và Y có phân phối xác suất như sau:
| X |
-2 |
-1 |
1 |
2 |
| P |
0,2 |
0,3 |
0,3 |
0,2 |
| Y |
-20 |
-1 |
1 |
20 |
| P |
0,2 |
0,3 |
0,3 |
0,2 |
1. Hãy tính kì vọng và phương sai của X và của Y .
2. Tính xác suất X ≥ 0 và xác suất Y ≤ 1.
Lời giải.
E[X] = E[Y ] = 0, V ar(X) = 2, 2, V ar(Y ) = 320, 6.
Nhận xét: X và Y có giá trị trung bình như nhau nhưng độ phân tán của Y cao hơn so với độ phân tán của X.
P[X ≥ 0] = P[X = 1] + P[X = 2] = 0, 5.
P[Y ≤ 1] = 1 − P[Y > 1] = 1 − P[Y = 20] = 0, 8.
3.4. Ý nghĩa của kỳ vọng và phương sai
- Kỳ vọng đặc trưng cho giá trị trung bình mà biến ngẫu nhiên có thể nhận.
- Phương sai đặc trưng cho độ phân tán của giá trị của biến ngẫu nhiên xung quanh giá trị trung bình của nó. Độ phân tán của biến ngẫu nhiên càng rộng thì phương sai càng lớn.
3.5. Phân phối nhị thức
Gọi X là số phép thử thành công trong dãy n phép thử Bernoulli.
X có phân phối nhị thức, kí hiệu là B(n, p).
E[X] = np, V ar(X) = np(1 − p).
3.6 Tính chất của kỳ vọng và phương sai
Với mọi số thực a, b, c và mọi bnn X và Y :
- E[c] = c.
- E[aX + bY ] = aE[X] + bE[Y ].
- Nếu X ≥ Y thì E[X] ≥ E[Y ].
- V ar(X + c) = V ar(X).
- V ar(aX) = Var(X)
4. Biến ngẫu nhiên liên tục và Phân phối chuẩn
4.1 Biến ngẫu nhiên liên tục
- Trên thực tế có nhiều đại lượng ngẫu nhiên nhận giá trị là các số thực
+ Cân nặng của một trẻ sơ sinh.
+ Thời gian bạn đi từ nhà đến trường mỗi ngày.
+ Chiều cao của cây bạch đàn 1 năm tuổi.
Ta gọi mỗi đại lượng trên là một biến ngẫu nhiên liên tục.
4.2 Hàm mật độ
Hàm f : R → [0, ∞) được gọi là hàm mật độ của biến ngẫu nhiên liên tục X nếu
P[a < X < b] = , với mọi số thực a < b.

4.3 Các số đặc trưng
- Kỳ vọng:
- Kỳ vọng của :
- Phương sai
Ví dụ: Thời gian mỗi lần Lan đi từ nhà đến quê nội (đơn vị: giờ) là một đại lượng ngẫu nhiên X có hàm mật độ
a. Tính xác suất để Lan đi từ nhà đến quê nội hết hơn 90 phút.
b. Tính kì vọng và phương sai của X.
4.4 Phân phối chuẩn
Bnn X được gọi là có phân phối chuẩn N (µ, σ2) nếu hàm mật độ của X xác định bởi
Ta tính được:
E[X] = µ và V ar(X) =
Khi µ = 0 và σ = 1 thì ta nói X có phân phối chuẩn tắc.
Hàm Φ xác định như sau được gọi là hàm phân phối chuẩn tắc
Hàm Φ đóng vai trò quan trọng trong thống kê. Tuy nhiên vì không tính được trực tiếp nên ta sẽ dùng bảng để tra giá trị của nó.

4.5 Tính chất của phân phối chuẩn
- Nếu X ∼ N (µ, ) thìsẽ có phân phối chuẩn tắc.
Do đó
P[X < a] = Φ()
P[X > b] = 1 − Φ( )
P[a < X < b] = Φ(
- Φ(−x) = 1 − Φ(x).
Ví dụ: Cho biết Φ(1, 96) = 0, 975 và Φ(2, 58) = 0, 995, hãy tính Φ(−1, 96) và Φ(−2, 58).
Lời giải.
Ta sử dụng tính chất của phân phối chuẩn tắc Φ(−x) = 1 − Φ(x) thì:
- Φ(−1, 96) = 1 − Φ(1, 96) = 0, 025.
- Φ(−2, 58) = 1 − Φ(2, 58) = 0, 005.
Ví dụ: Trọng lượng trẻ sơ sinh là một biến ngẫu nhiên có phân phối chuẩn với trung bình 3,2kg và độ lệch tiêu chuẩn 0,4kg. Một trẻ sơ sinh được gọi là bình thường nếu có trọng lượng từ 2,688kg đến 3,712kg. Tính xác suất để một đứa trẻ sơ sinh có trọng lượng bình thường.
Lời giải.
Gọi X là trọng lượng một trẻ sơ sinh, X ∼ N(3, 2; . Xác suất để 1 trẻ bình thường là
= Φ(1,28) - Φ(-1,28)
= 2Φ(1,28) - 1 = 2 x 0,9 - 1
= 0,8
4.6 Xấp xỉ phân phối nhị thức bằng phân phối chuẩn
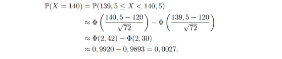
Ví dụ: Trong một thành phố có 40% người dân có mức thu nhập cao. Chọn ngẫu nhiên 300 người (chọn từng người).Tính xác xuất để trong 300 người được chọn có đúng 140 người lương cao?
- Theo công thức của phân phối nhị thức, xác suất để có 140 người thu nhập cao trong 300 người là
- Khi sử dụng máy tính bỏ túi thông thường, kết quả sẽ hiện là error! Có điều này là do là số quá lớn còn (0, 4)140 lại là số quá nhỏ nên máy tính không hiển thị được.
Mệnh đề: Giả sử X có phân phối nhị thức B(n, p). Khi n lớn thì

Ví dụ: Gọi X là số người có mức lương cao trong 300 người được chọn. Ta có np = 300 × 0, 4 = 120 và np(1 − p) = 72. Xác suất để X nhận giá trị 140 là

Ví dụ: Một loại hạt giống có xác suất nảy mầm là 0,7. Tìm xác suất để trong 100 hạt giống có:
1. Có hơn 65 hạt nảy mầm.
2. Ít hơn 72 hạt nảy mầm.
3. Có đúng 70 hạt nảy mầm.
Lời giải.
Gọi X là số hạt nảy mầm trong 100 hạt, X có phân phối B(n = 100; p = 0, 7). Ta có
np = 70 và np(1 − p) = 21.

Việc làm dành cho sinh viên:
Việc làm thực tập sinh tài chính
Việc làm gia sư các môn cập nhật theo ngày mới nhất
Việc làm thêm nhân viên phục vụ nhà hàng/ quán cafe dành cho sinh viên
Việc làm cộng tác viên kế toán
Mức lương của Thực tập sinh kế toán là bao nhiêu?
Bình luận (0)
Đăng nhập để có thể bình luận
Chưa có bình luận nào. Bạn hãy là người đầu tiên cho tôi biết ý kiến!