Tóm tắt công thức Xác suất thống kê | HUST - Đại học Bách khoa Hà Nội (2025)

Tóm tắt lý thuyết học phần Xác suất thống kê của trường Đại học Bách khoa Hà Nội giúp sinh viên củng cố kiến thức và đạt điểm cao trong bài thi kết thúc học phần.

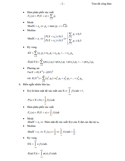
Tóm tắt kiến thức Xác suất thống kê bao gồm những nội dung sau: 

I. Phần Xác Suất

1. Xác suất cổ điển

2. Biến ngẫu nhiên

3. Luật phân phối xác suất

4. Sơ đồ tóm tắt các dạng phân phối xác suất thông dụng

II. Phần Thống Kê

1. Lý thuyết mẫu

2. Ước lượng khoảng

3. Kiểm định tham số

4. Kiểm định so sánh tham số

5. Hệ số tương quan mẫu và phương trình hồi quy tuyến tính mẫu

Tóm tắt lý thuyết Xác suất thống kê

Xem thêm các tài liệu hay, chi tiết khác:

TOP Việc làm "HOT" dành cho sinh viên:

 
Để xem toàn bộ tài liệu, vui lòng tải xuống
Bình luận (0)

Đăng nhập để có thể bình luận

Chưa có bình luận nào. Bạn hãy là người đầu tiên cho tôi biết ý kiến!
Nhắn tin Zalo